首页 > 新闻和公告 > 公告
公告

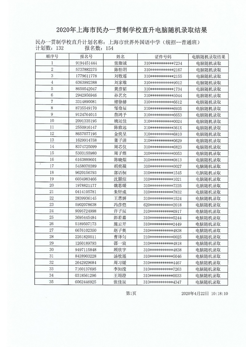
2020年上海市民办一贯制学校直升电脑随机录取结果

2020-04-22

1.jpg

2.jpg

3.jpg

4.png

5.jpg

6.png

7.jpg

8.jpg

9.png